Опубликовано в журнале:
Перинатология и педиатрия: науч.-практ. журн. - 2011. - N 1 (45). - С. 112-115.
- ISSN 1992-5891


Одеський національний медичний університет


Препарати замістної та метаболічної дії
у профілактиці та лікуванні респіраторного дистрес-синдрому
у недоношених новонароджених

М.Л. Аряєв, Н.К. Бределева, О.І. Горошко


Наведено результати профілактики та лікування респіраторного дистрес-синдрому (РДС) у недоношених новонароджених з поєднаним використанням препарату замісної сурфактантної терапії куросурфа та препарату метаболічної дії Карниеля. Доведено клінічну ефективність розробленої схеми у дітей з надзвичайно малою, дуже малою та малою масою тіла при нарожденні як з метою профілактики, так і з метою лікування РДС.



Зміст

Вступ
1. Матеріал і методи дослідження
2. Результати досліджень та їх обговорення
3. Висновки
Література



Вступ

Захворюваність новонароджених респіраторним дистрес-синдромом (РДС), визначеного в МКХ-10 під рубрикою Р.22.0, у розвинутих країнах світу коли­ва ­ється від 2,7 до 18,3 на 1000 народжених живими і в останній час не знижується у зв’язку з прогресивним збільшенням кількості передчасно народжених дітей  [2]. З переходом МОЗ України у 2007 році на критерії живонародженості з 22 тижнів гестації у структурі захворюваності недоношених дітей, що народилися з надзви­чайно малою (НММТ), дуже малою (ДММТ) і малою (ММТ) масою тіла дихальні розлади, які включають РДС, займають друге місце і складають 233,6 ‰  [3].

У сучасній перинатології розроблені методи анте- і інтранатальної профілактики РДС [3]. Після народження стратегія профілактики і лікування РДС включає насамперед сурфактантзамісну терапію. Препаратами вибору є натуральні сурфактанти, у склад яких входять окрім есенціальних фосфоліпідів сурфактантні протеїни В і С.

Поряд з первинним дефіцитом сурфактанта серед патогенетичних механізмів розвитку РДС найбільш вагоме значення мають метаболічні порушення – зміни КОС, активація анаеробного гліколізу і інтенсифікація процесів пероксидації ліпідів. У зв’язку з цим у вітчизняній та іноземній літературі ведеться пошук лікар­ських препаратів метаболічної дії, що підвищують ефективність профі­лак­тики і лікування РДС. Активно вивчається використання інозитолу, антиокси­дантів, мікроелементів, вітамінів і вітаміноподібних речовин  [5, 7]. Проте, рандомізованих досліджень, що підтверджують ефективність вищеперелічених препаратів при РДС у літературі ми не знайшли.

Мета роботи – підвищити ефективність профілактики і лікування РДС у недоношених новонароджених з НММТ, ДММТ і ММТ на основі використання в комплексі профілактики і лікування в ранньому неонатальному періоді замісної сурфактантної та метаболічної терапії.

Доцільність поєднаного використання препарату, що містить сурфактант – куро­сурф і препарату метаболічної дії – Карниель визначалася механізмом їх дії.  Препарат куросурф є натуральним сурфактантом. Уведений ендотрахеально із замісною метою, куросурф покриває внутрішню поверхню альвеол, знижує по­вер­хневий натяг в легенях, сприяє адекватному газообміну в легенях впродовж усього дихального циклу, відновлює рівень оксигенації, і, отже, нормалізує КОС крові.

Препарат Карниель, діючою речовиною якого є лівокарнітін (L-карнітин), чинить метаболічну, анаболічну і антигіпоксичну дію. Лівокарнітин вмикає жирнокислотний метаболічний шунт, активність якого не лімітована киснем і, отже, сприяє використанню жирів у якості джерела енергії. Лівокарнітин нормалізує білковий і вуглеводний обмін, відновлює лужний резерв крові.

Матеріал і методи дослідження

Дослідження проводилося в КУ "Пологовий будинок №5" м. Одеси на базі кафедри педіатрії №1 і неонатології Одеського національного медичного університету.

Обстежено 123 передчасно народжені дитини. Основну групу склали 55 недоношених дітей, профілактику і лікування РДС яким проводили з використанням куросурфа і Карниеля: 30 – з ММТ (група 1), 25 – з ДММТ і НММТ (група 2). Групу порівняння склали 68 дітей, профілактику і лікування РДС яким проводили за загальноприйнятими принципами без використання куросурфа і Карниеля: 52 – з ММТ (група 3), 16 – з ДММТ і НММТ (група 4).

Схема профілактики РДС включала призначення куросурфа усім недоношеним дітям з НММТ, ДММТ, а також з ММТ у випадках відсутності курсу гормонопрофілактики РДС або у випадках показань до інтубації трахеї. куросурф уводили ендотрахеально в дозі 100-200 мг/кг в 1 годину життя. З лікувальною метою другу й третю дозу куросурфа, 100 мг/кг кожна, призначали через 6-12 годин у випадках, якщо концентрація кисню в дихальній суміші становила більше 40%, або при nCPАР-терапії з позитивним тиском на видиху  більше 6 см вод. ст. спостерігалося погіршання стану дитини. Карниель з лікувальною метою призначали ентерально в дозі 5 крапель на 2-5 мл 5% розчині глюкози через 12 годин за 30 хвилин до годування впродовж 7 днів.

Частота виникнення РДС і  частота розвитку важких дихальних розладів склали критерії ефективності схеми профілактики РДС.  Результати динаміки клінічних, лабораторних і інструментальних досліджень, а також показники летальності від РДС і його ускладнень в основній групі і в групі порівняння використовувались у якості критеріїв ефективності схеми лікування РДС.

Стан анаеробного гліколізу оцінювали за рівнями піровиноградної (ПВК) і молочної (МК) кислот крові [1]. КОС вивчали за показниками рН, парціальної напруги кисню (рО2), вуглекислого газу (рСО2) і відхиленню основ (ВЕ) в капілярній крові за методом P. Astrup на апараті АВС-1 фірми "Radiometr" (Данія). Стан антиоксидантної системи (АОС) оцінювали за рівнем антиокислювальної активності (АОА) крові, а інтенсивність вільнорадикального окислення (ВРО) ліпідів – за рівнем малонового діальдегіду (МДА) крові [6]. Для всіх показників  обчислювали середні їх значення і 95% довірчі (Мсер.. 95% ДІ) інтервали [4]. Показник відношення шансів (ВШ 95% ДІ) і його довірчий інтервал використовували для порівняння частот клінічних характеристик дітей [4].

Результати досліджень та їх обговорення

Апробація розробленої схеми профілактики РДС довела, що використання куросурфа на 1 годині життя у недоношених новонароджених знижувало частоту розвитку РДС і частоту важких дихальних розладів. У дітей основної групи з ММТ частота розвитку РДС виявилася в 5,2 рази нижче (ВШ=5,2 95% ДІ 1,90-14,51) у порівнянні з дітьми групи загальноприйнятої профілактики, а важкі дихальні розлади спостерігались в 16,8 рази рідше (ВШ=16,8 95% ДІ 2,63-13,72). У обстежених основної групи з ДММТ і НММТ частота розвитку РДС була в 4,1 рази нижче (ВШ=4,1 95% ДІ 1,10-16,06) у порівнянні з обстеженими групи загальноприйнятої профілактики РДС, а важкі дихальні розлади діагностували в 17,5 рази рідше (ВШ=17,5 95% ДІ 1,38 – 364,39).

Апробація розробленої схеми лікування РДС виявила, що поєднане використання куросурфа і Карниеля в ранньому неонатальному періоді знижувало частоту ВШК, пневмотораксу, бронхолегеневої дисплазії, а легенева кровотеча була відсутня. Так, у дітей основної групи з ММТ, ДММТ і НММТ частота ВШК спостерігалась в 5,4 рази нижче (ВШ=5,4 95% ДІ 1,49-20,35), пневмотораксу – в 8,2 рази (ВШ=8,2 95% ДІ 1,02-178,02), а бронхолегеневої дисплазії – в 5,2 рази (ВШ=5,2 95% ДІ 1,01-26,09) нижче, ніж у обстежених групи порівняння.

Комбіноване використання куросурфа і елькара з лікувальною метою сприяло більш швидкій позитивній динаміці клінічних симптомів. У дітей основної групи з ММТ, ДММТ і НММТ ЧСС нормалізувалась на 30,0 годин раніше, середній артеріальний тиск - на 24,3 години раніше у порівнянні з дітьми групи загальноприйнятої терапії. У дітей с ММТ основної групи на 3,1 дня раніше спостерігався початок позитивної динаміки аускультативних даних, на 7,9 дня раніше нормализувалися рентгенологічні дані, на 3,0 дня скорочувались терміни початку мінімального трофічного живлення. У обстежених основної групи з ДММТ і НММТ також скорочувались терміни початку позитивноЇ динаміки вищеперелічених клінічних критеріїв – на 3,7 дня, на 6,6 дня і на 3,7 дня відповідно.

Про ефективність лікування РДС з використанням куросурфа і елькара свідчать скорочення термінів перебування дітей на ШВЛ, кисневозалежності і зниження показника летальності від РДС та розвинутих ускладнень в основній групі обстежених у порівнянні з дітьми групи загальноприйнятої терапії. Так, в основній групі дітей з ММТ в 3,1 рази, а з ДММТ і НММТ - в 2,2 рази скорочувались терміни перебування на ШВЛ у порівнянні з дітьми, що отримували загальноприйняту терапію. Терміни кисневозалежності дітей з ММТ основної групи скорочувались в 1,7 рази, а у обстежених з ДММТ і НММТ - в 1,6 рази. Серед 17 недоношених дітей основної групи померла 1 дитина з НММТ, тоді як в групі загальноприйнятої терапії (68 дітей) число померлих склало 16 немовлят. Показник летальності від РДС в основній групі відповідав 5,8%, а в групі загальноприйнятої терапії – 23,5%.

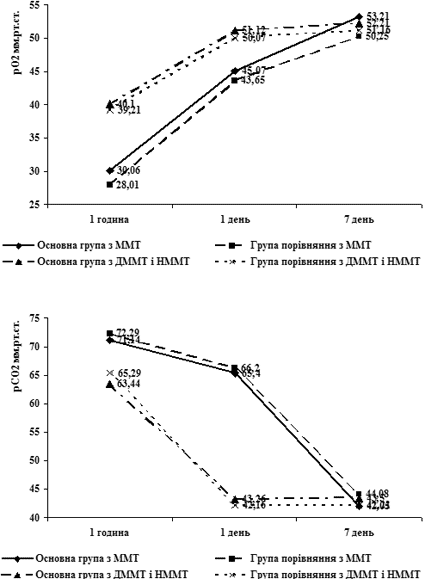
Поєднане використання куросурфа і елькара в лікуванні РДС у недоношених новонароджених сприятливо діє на процеси КОС, анаеробного гліколізу і ВРО ліпідів. У дітей основної групи з ММТ, а також з ДММТ і НММТ (рис. 1) вже до кінця 1 доби життя спостерігався компенсований респіраторно-метаболічний ацидоз (нормальні показники рН і рО2, підвищений рСО2, низький ВЕ), тоді як у обстежених з групи загальноприйнятої терапії – декомпенсований респіраторно-метаболічний ацидоз (знижені рН і рО2, підвищений рСО2 і низький ВЕ). До кінця раннього неонатального періоду усі показники свідчили про нормальний стан КОС.

Рис. 1. Показники КОС крові у недоношених новонароджених
з ММТ, ДММТ і НММТ

При використанні куросурфа і елькара в комплексному лікуванні РДС у дітей з ММТ, ДММТ і НММТ відзначалось більш швидке зниження показників фракції інгаліруємого кисню (FiO2) і нормалізація показників пульсоксиметрії (SaO2) у порівнянні з обстеженими групи загальноприйнятої терапії (рис. 2, 3).

Рис. 2. Показники FiO2 та SaO2 у дітей з ММТ на етапі лікування


Рис. 3. Показники FiO2 та SaO2 у дітей з ДММТ і НММТ
на етапі лікування

При лікуванні РДС з використанням куросурфа і елькара у дітей з ММТ, ДММТ і НММТ до кінця раннього неонатального періоду спостерігалась нормалізація функціонування АОС (підвищення АОА крові), стабілізація процесів ВРО ліпідів (зниження МДА крові), а також нормалізація процесів анаеробного гліколізу (зниження показників ПВК і МК крові) упорівнянні з обстеженими групи загальноприйнятої терапії (рис. 4, 5).

Рис. 4. Показники АОА та МДА крові у недоношених новонароджених
з ММТ, ДММТ і НММТ на 7 день життя


Рис.5. Показники МК та ПВК крові у недоношених новонароджених
з ММТ, ДММТ і НММТ на 7 день життя

При проведенні дослідження ураховувалась можливість побічних дій куросурфа (легенева кровотеча і алергічні реакції) і елькара (алергічні реакції, гастралгія, диспепсія, міастенія). При апробації розробленої схеми профілактики і лікування РДС побічні дії куросурфа і елькара були відсутні.


Висновки

  1. Використання куросурфа у профілактиці РДС у недоношених дітей з НММТ, ДММТ і ММТ знижує частоту респіраторного дистрес-синдрому.
  2. Поєднане використання куросурфа і елькара в схемі лікування РДС супроводжується значною позитивною динамікою клінічних симптомів, зниженням частоти ВШК, пневмоторакса, бронхолегеневої дисплазії, не викликає легеневої кровотечі, скорочує строки перебування дітей на ШВЛ, строки кисневозалежності, знижує летальність від РДС і його ускладнень.
  3. Клінічна ефективність використання куросурфа і елькара у схемі лікування РДС супроводжується прискоренням нормалізації КОС, більш швидким зниженням фракції інгаліруємого кисню і підвищенням сатурації кисню, нормалізацією функціонування АОС, стабілізацією процесів ВРО ліпідів і анаеробного гліколізу.

Література

  1. Горячковский А.М. Справочное пособие по клинической биохимии / А.М. Горячковский. –Одеса : Маяк, 1994. –398 с.
  2. Добрянський Д.О. Сучасні пріоритети медичної допомоги новонародженим з дихальними розладами / Д. О. Добрянський // Фізіологія та патологія новонароджених : наук. – практ. конф. з міжнар. участю, 15 – 16 березня 2007 р., Київ : матеріали. – К., 2007. – С. 46–52.
  3. Про затвердження клінічного протоколу надання допомоги новонародженій дитині з дихальними розладами : Наказ МОЗ України № 484 від 21.08.2008. – К., 2008. – 56 с.
  4. Реброва О.Ю. Статистический анализ медицинских данных. Применение пакета прикладных программ STATISTICA/ О.Ю. Реброва. – М. :  Медиа Сфера, 2002. – 312 с.
  5. Современная терапия в неонатологии / под ред. Н. П. Шабалова. – М. : МЕДпресс, 2000. – 262 с.
  6. Стальная И.Д. Метод определения малонового диальдегида с помощью тиобарбитуровой кислоты / И.Д.Стальная, Е.Г. Гаришвили //Современные методы в биохимии. –М. :Медицина , 1977. –479 с.
  7. Seim H. L(-)-Carnitine and its precursor, gamma-butyrobetaine / H. Seim, K. Eichler, H. Kleber // Nutraceuticals in Health and Disease Prevention. – N.Y. : Marcel Dekker, Inc. – 2001. – Р. 217–256.