ТОВ «Аптечный склад медичної академії» ТОВ «Аптечный склад медичної академії» ТОВ «Аптечный склад медичної академії»

Оптовий продаж
ліків, товарів медичного призначення,
косметики, медичної техніки,
дитячого та лікувального харчування

 
 

 

Дистрибуція

 

Маркетинг

 


Витаминоподобные соединения L-карнитин и ацетил-L-карнитин: от биохимических исследований к медицинскому применению

Введение

Современная наука о витаминах и витаминоподобных веществах — витами­но­логия достигла в последние годы значитель­ных успехов в расшифровке механизма их дей­ствия, что послужило основой более грамотного применения таких препаратов. Витамины так ши­роко вошли в нашу жизнь, что сейчас невозмож­но переоценить тот импульс в истории челове­ческого познания, который сделал открытие ви­таминов в первой половине 20 века, установле­ние их роли в жизни человека, перевернувшее наши представления об окружающем мире. Раз­витие витаминологии началось в 30-40 годы 20 века на стыке химии, биохимии, медицины и физиологии. Следует отметить, что большой вклад в это внесли ученые бывшего СССР, в частности академики А.В. Палладии и Р.В. Чаговец, 100-летний юбилей которого широко от­мечался в 2004 году. Своими исследованиями академик Р.В. Чаговец и его сотрудники доказа­ли, что витамины действительно способны изле­чивать от многих заболеваний, отдалять старость, побеждать немощь и продлевать жизнь. Они обо­сновали положение о дозазави­симом эффекте витаминов и витаминоподобных веществ, что в на­стоящее время имеет большое практическое зна­чение для клинического применения этой груп­пы соединений, включая L-карнитин и его про­изводные.

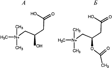
Химическая структура L-карнитина (А) и ацетил-L-карнитина (Б)

L-Карнитин (l-3-гидрокси-4-N-(триметил-аммоний) масляная кислота), кото­рый по хими­ческому строению можно рассматривать как про­изводное і-аминомасляной кислоты, присутствует в биологических системах как в свобод­ном виде, так и в форме О-ацильных эфиров, включая аце­тил-L-карнитин (АЛК) (рисунок). L-Карнитин впервые выделили в 1905 году В.С. Гулевич и Р. Крим­берг из экстракта тканей мышц (отсюда и название: carnis по-латыни – мясо). В 1927 году с помощью химического синтеза была уста­новлена его структура. С момента открытия L-карнитина прошло ровно 100 лет и за это вре­мя накоплен огромный фактический материал о его распространении в природе, биологи­чес­ких функциях, а также применении в медицине.

В 1952 г. А. Френкель опытным путем ус­тановил, что L-карнитин является незаменимым фактором роста для мучного червя Tenebrio molitor, в связи с чем его назвали витамином Вт. По­зднее было установлено, что L-карнитин синте­зируется также в организме человека и высших животных. И. Фритц в 1958 г. определил, что L-карнитин повышает скорость окисления жи­ров в мито­хондриях. Эта работа заложила осно­вы изучения фундаментальной его роли в окис­лении жиров. В 1960—1970 годы появилось зна­чительное число работ по изучению функцио­нальной роли L-карнитина. В эти же годы раз­работаны химические методы синтеза рацемичес­кого карнитина. В 1980 годы L-карнитин стано­вится коммерчески доступным. С этого года и до настоящего времени отмечается заметное по­вышение числа научных публикаций по изуче­нию роли L-карнитина в обмене веществ. Эти исследования раскрывают возможности его при­менения для поддержания нормального функцио­нирования организма человека, лечения различ­ных заболеваний и улучшения качества жизни. К 2004 году имелось уже более 10 000 научных сообщений и ежегодно публикуется около 300 работ по изучению L-карнитина. В течение пос­ледних 30 лет лекарственные препараты и био­логически активные добавки на основе L-карни­тина и АЛК получили признание и появились на прилавках аптек и специализированных мага­зинов. Из приведенной краткой исторической хроники видно, какой значительный период вре­мени прошел от открытия L-карнитина до его практического использования в качестве лечеб­ного средства и доступной пищевой добавки [1,2]. Многие эксперты определяют сейчас вита­мины как низкомолекулярные органические ком­поненты пищи, абсолютно необходимые для под­держания жизненных функций, которые не об­разуются или образуются в недостаточном коли­честве в организме и поступают в него с пищей. Они регулируют самостоятельно или в составе ферментов обмен веществ и оказывают разностороннее влияние на жизнедеятельность орга­низма. В эту группу нутриентов, наряду с вита­минами, некоторыми каротиноидами, биофлавоноидами, а также различными их метаболитами в организме человека, такими как кофермент Q10, α-липоевая кислота, холин, инозит, оротовая кис­лота, включен и L-карнитин. Важно также отме­тить функциональную взаимосвязь между L-карнитином и коферментом А на уровне регуляции внутриклеточного метаболизма. Более того, впол­не вероятно, что терапевтический эффект L-кар­нитина и его эфиров обусловлен интегральным влиянием карнитиновой системы на содержание свободного СоА. Все это дает нам основание от­носиться к L-карнитину как "забытому" вита­мину группы В, хотя в настоящее время в боль­шинстве научных публикаций, различных моно­графиях и документах L-карнитин определяется как витаминоподобное соединение. В настоящей статье рассматривается лишь незначительная часть той обширной литературы, которая опубликова­на, в основном, в последние 5-10 лет, о роли L-карнитина в метаболических процессах, а так­же о клиническом применении L-карнитина и его ацетильного производного.




Ліцензія Державної інспекції з контролю якості лікарських засобів МОЗ України з оптової торгівлі лікарськими засобами АВ №528116
2024 ТОВ "Аптечний склад медичної академії"  * webmaster